Allow me a Biohacker brag, I haven't gotten even a bit ill this winter season. I think this has a lot to do with me taking supplementing 5000 IU of Vitamin D3, along with its key cofactors Vitamin K2 and magnesium. Other than keeping me sniffle-free, there are not any experiential effects to report.
The Vitamin D3 debate
This is one of the more contentious vitamins, there are authoritative voices that criticize the supplementation of it. As you can imagine, most are propagandists for big pharma that disingenuously try to dissuade the public from taking it. But there are a few independent researchers and Biohackers that aren't fans of Vitamin D3, I listened to at least 12 hours of podcast interviews with them to try to get to the bottom line with Vitamin D3. Here's the conclusion I reached: you should get your Vitamin D3 levels tested (and, ideally, get your personal genotyping done so you can better understand how your body uniquely metabolizes it), if you're deficient (below about 70 ng/ml), supplement 5000 IU day until you get into a healthier range, and if you're getting a lot of sun regularly you probably don't need to supplement it.
So I use it seasonally, during the summer I typically do about 20 minutes a day of suntanning with my lady, and once it gets too chilly to hang in the hammock during midday I take 5000 IU along with 100 MCG of K2. At this rate, this 600-gel cap supply will last me years (better keep an eye on its expiration date), it's a pretty great value at under $30!
What caught my attention with this supplement was that the Vitamin D3 is suspended in olive oil and I freakin' love olive oil (even though you can't taste it with the soft gels)! Olive oil aids the absorption of Vitamin D3, which is fat-soluble (take it on an empty stomach and you're probably wasting money) and Olive Oil itself is an awesome anti-aging food, being rich in polyphenols.
Scientific overview
Given the events of the past couple of years, Vitamin D3 has been a particularly hot area of recent scientific research; on Pubmed over 200 items of human science and 75 clinical trials are published, all in this young decade. I'll summarize some of the interesting new science here.
2000 IU a day and omega-3 supplementation is a pretty good cancer preventative according to a secondary analysis, published by Harvard Medical School, of a +28,000-person randomized clinical trial.
supplementation with vitamin D reduced the incidence of advanced (metastatic or fatal) cancer in the overall cohort, with the strongest risk reduction seen in individuals with normal weight.

It's NOT a cure for depression, at least for older folks over 50, according to another placebo-controlled Harvard study of 18,000 Americans. It's far from the top of my list of mental health hacks.
Vitamin D3 supplementation improves glycemic control in type 2 diabetic patients, according to a recent study of 122 Italians.
Parents and expecting mothers are always (understandably) paranoid about which vitamins are safe to take or give to their children. Fortunately, several recent studies emphasize the importance of Vitamin D3 supplementation for the most precious among us. A 2023 Scandinavian study of over 300 babies compared supplementation of 1200 IU vs 400 IU and found that it reduced the occurrence of psychiatric symptoms later in childhood. It concluded
This randomized clinical trial found that higher-than-standard vitamin D3 supplementation in the first 2 years decreased risk of internalizing problems at ages 6 to 8 years.

There is a relatively recent animal study specifically on Vitamin D3 and olive oil, done at the University of Catania, Italy. From it's abstract:
Overall, our data suggest a protective impact of virgin olive oil as a source of polyphenols in addition to vitamin D3 on bone metabolism through improvement of oxidative stress and inflammation.
So this supplement would be a good choice for older folks trying to keep their bones strong and sarcopenia at bay.
However, there is some contention in the scientific literature about Vitamin D3 as a mobility hack for the elderly. A 4-month resistance training study of 100 Austrian senior citizens (I wonder if any of them knew Arnold Schwarzenegger?), concluded...
Neither muscle strength endurance, nor functional mobility or aerobic capacity were modulated by vitamin D supplementation.
But they only gave them 800 IU daily. That might that not be enough to keep Oma ("grannie" in German) on the dancefloor!
Almost every time I do a deep dive on Pubmed on a subject, I learn something interesting from an Iranian study. And today I learned the word migraineurs, the unfortunate lot stricken with frequent migraines. Good news for them, a couple of months of Vitamin D3 supplementation may provide relief according to the findings of an 80-patient, placebo-controlled trial.
we found that 2000 IU (50 μg)/day vitamin D3 supplementation for 12 weeks could improve headache characteristics and might reduce neuro-inflammation in episodic migraine.
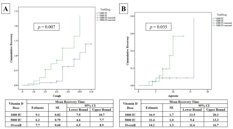
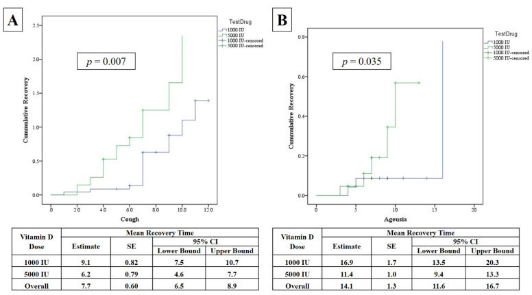
Nearly 70 human clinical trials focusing on Vitamin D3 and COVID have been completed at this point, well establishing the connection between D3 deficiency and COVID mortality, length of hospital stays, and severity of long COVID.
Powdered vs capsuled
It's pretty affordable from PureBulk.com, both in powdered and capsuled form. But it's one supplement I wouldn't take in powdered form (which is cheaper) because even 5000 UI is a tiny amount, it would be easy to accidentally take a lot more, and it's one vitamin that can be harmful in mega-doses!
Purity-verified with COA
The final thing I like about this Vitamin D3 is that it's verified as pure with a certificate of analysis from an accredited American lab. This evidence of purity is something you should demand that your local supplement shop or the sellers on Amazon likely can't provide.
Support me on Substack? For $7/monthly?

